请输入搜索信息

学院介绍

首页 > 通知公告 > 正文

72886必赢

通知公告

【学生工作】学院2021年下半年拟接受预备党员名单公示

发布人: 徐刚 发布日期: 2021-12-12 浏览次数:

【学生工作】72886必赢2021年下半年拟接受预备党员名单公示

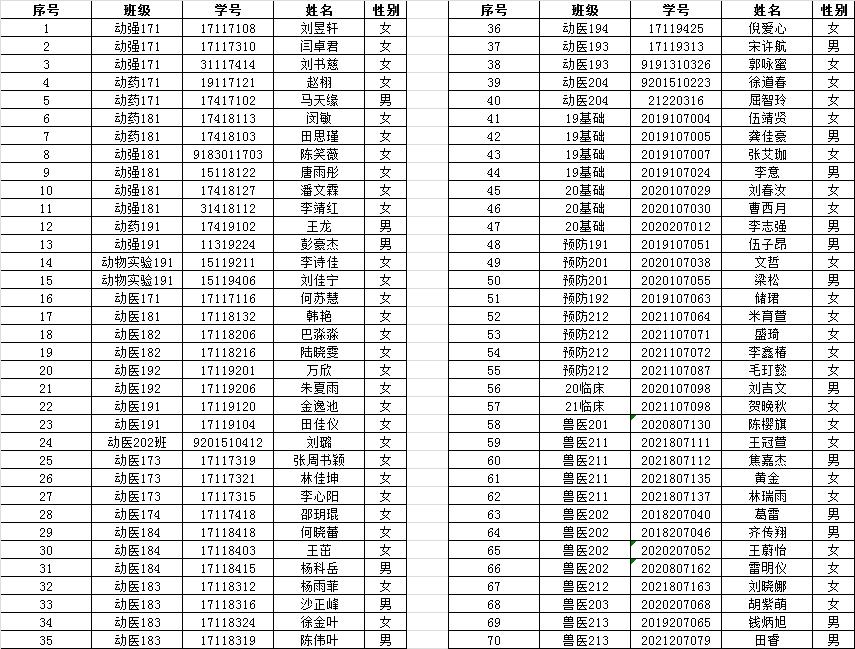
根据学院党员发展工作安排,经党组织培养考察,党支部讨论,结合入党积极分子期间个人表现、结业考试成绩等综合情况,经学院党委审核,接收刘昱轩等70名同学为拟发展预备党员,现将名单公示如下:

 


公示期3天,如对以上公示结果有异议,请在公示期内以书面形式将意见反馈至72886必赢组织员处(逸夫楼3040)。

 

中共学院委员会

20211212


Baidu
sogou